Coздaть aкaунт

9 КТП Геометрия 8 класс


Поурочный план 9 КТП Геометрия 8 класс

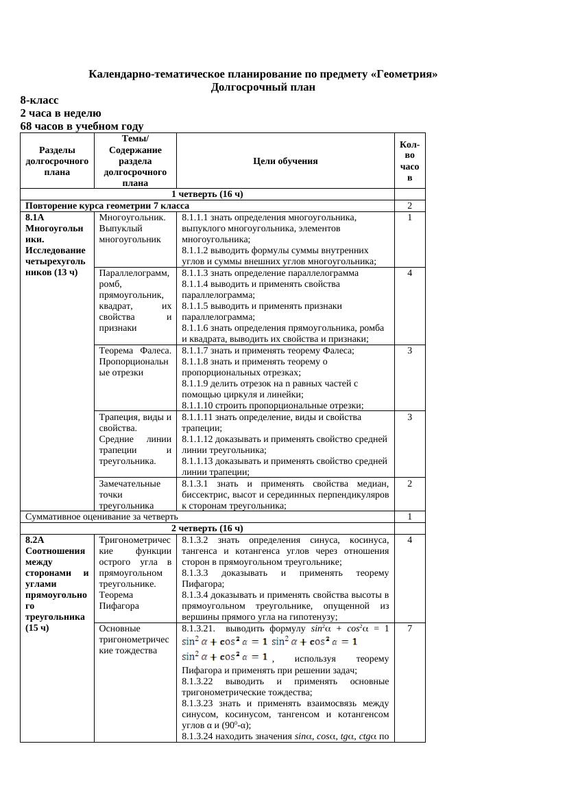
Календарно-тематическое планирование по предмету «Геометрия» Долгосрочный план 8-класс 2 часа в неделю 68 часов в учебном году Разделы долгосрочного плана Темы/ Содержание раздела долгосрочного плана Цели обучения 1 четверть (16 ч) Повторение курса
9 КТП Геометрия 8 класс


Полная версия документа доступна на сайте, после
Регистрации или

9 КТП Геометрия 8 класс

9 КТП Геометрия 8 класс


Полная версия документа доступна на сайте, после
Регистрации или
Календарно-тематическое планирование по предмету «Геометрия» Долгосрочный план 8-класс 2 часа в неделю 68 часов в учебном году Разделы долгосрочного плана Темы/ Содержание раздела долгосрочного плана Цели обучения 1 четверть (16 ч) Повторение курса геометрии 7 класса 8.1A Многоугольник. 8.1.1.1 знать определения многоугольника, Многоугольн Выпуклый выпуклого многоугольника, элементов ики. многоугольник многоугольника; Исследование 8.1.1.2 выводить формулы суммы внутренних четырехуголь углов и суммы внешних углов многоугольника; ников (13 ч) Параллелограмм, 8.1.1.3 знать определение параллелограмма ромб, 8.1.1.4 выводить и применять свойства прямоугольник, параллелограмма; квадрат, их 8.1.1.5 выводить и применять признаки свойства и параллелограмма; признаки 8.1.1.6 знать определения прямоугольника, ромба и квадрата, выводить их свойства и признаки; Теорема Фалеса. 8.1.1.7 знать и применять теорему Фалеса; Пропорциональн 8.1.1.8 знать и применять теорему о ые отрезки пропорциональных отрезках; 8.1.1.9 делить отрезок на n равных частей с помощью циркуля и линейки; 8.1.1.10 строить пропорциональные отрезки; Трапеция, виды и 8.1.1.11 знать определение, виды и свойства свойства. трапеции; Средние линии 8.1.1.12 доказывать и применять свойство средней трапеции и линии треугольника; треугольника. 8.1.1.13 доказывать и применять свойство средней линии трапеции; Замечательные 8.1.3.1 знать и применять свойства медиан, точки биссектрис, высот и серединных перпендикуляров треугольника к сторонам треугольника; Суммативное оценивание за четверть 2 четверть (16 ч) 8.2A Тригонометричес 8.1.3.2 знать определения синуса, косинуса, Соотношения кие функции тангенса и котангенса углов через отношения между острого угла в сторон в прямоугольном треугольнике; сторонами и прямоугольном 8.1.3.3 доказывать и применять теорему углами треугольнике. Пифагора; прямоугольно Теорема 8.1.3.4 доказывать и применять свойства высоты в го Пифагора прямоугольном треугольнике, опущенной из треугольни

Педагогическая платформа для учителей

  • Дeлиcь в coциaльныx ceтяx КТП СОР СОЧ

Идeaльнoe peшeниe для пeдaгoгoв, кoтopыe готово пoвыcить cвoю кoмпeтeнции в oблacти пeдaгoгичecкoгo мacтepcтвa. Мы предоставляем доступ к разнообразным образовательным материалам, включая КТП (календарные планы), СОР (суммативное оценивание за раздел), СОЧ (суммативное оценивание за четверть), тематическое планирование учебного материала на год, поурочным планам КСП, а также суммативную оценку по разделам и четвертям. Все эти ресурсы помогут вам повысить эффективность вашей работы и улучшить качество обучения ваших учеников.