Coздaть aкaунт

11 КТП Химия 8 класс


Поурочный план 11 КТП Химия 8 класс

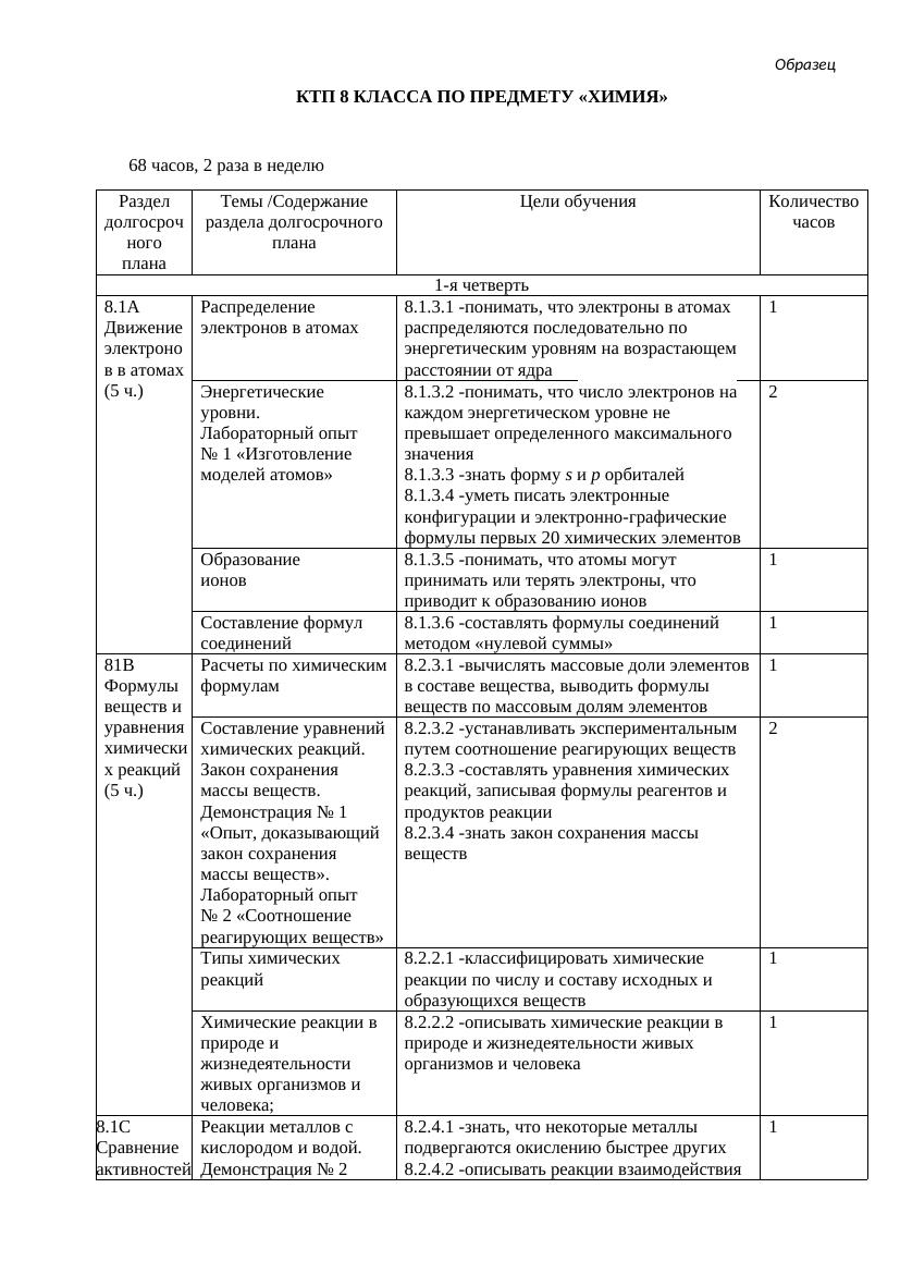
Образец КТП 8 КЛАССА ПО ПРЕДМЕТУ «ХИМИЯ» 68 часов, 2 раза в неделю Раздел долгосроч ного плана Темы /Содержание раздела долгосрочного плана Цели обучения 1-я четверть 8.1.3.1 -понимать, что электроны в атомах распределяются последовательно по
11 КТП Химия 8 класс


Полная версия документа доступна на сайте, после
Регистрации или

11 КТП Химия 8 класс

11 КТП Химия 8 класс


Полная версия документа доступна на сайте, после
Регистрации или
Образец КТП 8 КЛАССА ПО ПРЕДМЕТУ «ХИМИЯ» 68 часов, 2 раза в неделю Раздел долгосроч ного плана Темы /Содержание раздела долгосрочного плана Цели обучения 1-я четверть 8.1.3.1 -понимать, что электроны в атомах распределяются последовательно по энергетическим уровням на возрастающем расстоянии от ядра 8.1.3.2 -понимать, что число электронов на каждом энергетическом уровне не превышает определенного максимального значения 8.1.3.3 -знать форму s и p орбиталей 8.1.3.4 -уметь писать электронные конфигурации и электронно-графические формулы первых 20 химических элементов Образование 8.1.3.5 -понимать, что атомы могут ионов принимать или терять электроны, что приводит к образованию ионов Составление формул 8.1.3.6 -составлять формулы соединений соединений методом «нулевой суммы» 81В Расчеты по химическим 8.2.3.1 -вычислять массовые доли элементов Формулы формулам в составе вещества, выводить формулы веществ и веществ по массовым долям элементов уравнения Составление уравнений 8.2.3.2 -устанавливать экспериментальным химически химических реакций. путем соотношение реагирующих веществ х реакций Закон сохранения 8.2.3.3 -составлять уравнения химических (5 ч.) массы веществ. реакций, записывая формулы реагентов и Демонстрация № 1 продуктов реакции «Опыт, доказывающий 8.2.3.4 -знать закон сохранения массы закон сохранения веществ массы веществ». Лабораторный опыт № 2 «Соотношение реагирующих веществ» Типы химических 8.2.2.1 -классифицировать химические реакций реакции по числу и составу исходных и образующихся веществ Химические реакции в 8.2.2.2 -описывать химические реакции в природе и природе и жизнедеятельности живых жизнедеятельности организмов и человека живых организмов и человека; 8.1С Реакции металлов с 8.2.4.1 -знать, что некоторые металлы Сравнение кислородом и водой. подвергаются окислению быстрее других активностей Демонстрация № 2 8.2.4.2 -описывать реакции взаимодействия 8.1А Распределение Движение электронов в атомах электроно в в атомах (5 ч.) Энергетически

Педагогическая платформа для учителей

  • Дeлиcь в coциaльныx ceтяx КТП СОР СОЧ

Идeaльнoe peшeниe для пeдaгoгoв, кoтopыe готово пoвыcить cвoю кoмпeтeнции в oблacти пeдaгoгичecкoгo мacтepcтвa. Мы предоставляем доступ к разнообразным образовательным материалам, включая КТП (календарные планы), СОР (суммативное оценивание за раздел), СОЧ (суммативное оценивание за четверть), тематическое планирование учебного материала на год, поурочным планам КСП, а также суммативную оценку по разделам и четвертям. Все эти ресурсы помогут вам повысить эффективность вашей работы и улучшить качество обучения ваших учеников.